- 聯系我們
- 內 貿 部:0632-5228899 18806325904
外 貿 部:0632-3671188 17763266218
采 購 部:0632-7663999 18663267979
人力資源:0632-7683555
郵箱:kr@krwater.com
官 網:http://m.andsart.com
地址:山東省棗莊市薛城區薛城化工產業園府前路路南1號
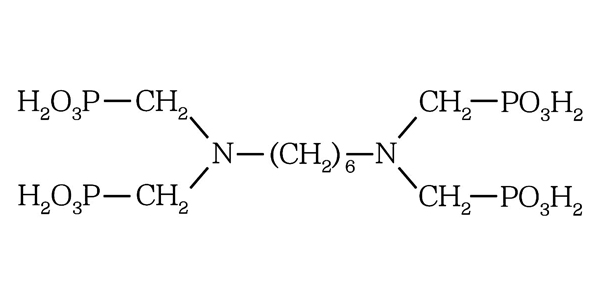
HexaMethyleneDiamineTetra (MethylenePhosphonic Acid) HMDTMPA
- 別名: 1,6-己二胺四甲叉膦酸 、 己二胺四亞甲基膦酸 、 六亞甲基二胺四亞甲基膦酸 、 HMDTMP
- CAS No. 23605-74-5
- 分子式 C10H28N2O12P4 相對分子質量:492.3
- 結構式

- 一、性能與用途:
- HDTMPA能抑制各種水垢(如碳酸鈣垢、硫酸鈣垢、硫酸鋇垢和氧化鐵垢等)的生成,但在水處理中主要用來阻抑硫酸鈣和硫酸鋇垢。在各種有機膦酸中,其阻硫酸鈣垢的性能突出,不僅阻垢率高,有效時間長,因此特別適用于油田的擠壓處理中。HDTMPA也可用于鍋爐水處理中。常溫下HDTMPA為白色結晶性粉末,微溶于水,其溶解度在室溫下小于5%。
- 二、技術指標
| 項
目 |
指 標 |
| 外 觀 |
白色結晶性粉末 |
| 活性組分(以HDTMPA-計)%
|
≥97.0 |
| 氯化物 (以Cl-計)%
|
≤0.5 |
| Fe(以Fe2+計)含量mg/L
|
≤35.0 |
| 干燥失重 % |
≤0.3 |
| pH(1%水溶液) |
≤2.0 |
- 三、包裝與貯存
-
HDTMPA用復合塑編袋包裝或符合出口環保要求的包裝,每袋凈重25kg,或根據用戶需求確定。貯存于陰涼干燥處,貯存期十二個月。
- 四、安全防護
- HDTMPA為酸性固體,操作時注意勞動保護,應避免與皮膚、眼睛等接觸,接觸后用大量清水沖洗。