- 聯系我們
- 內 貿 部:0632-5228899 18806325904
外 貿 部:0632-3671188 17763266218
采 購 部:0632-7663999 18663267979
人力資源:0632-7683555
郵箱:kr@krwater.com
官 網:http://m.andsart.com
地址:山東省棗莊市薛城區薛城化工產業園府前路路南1號
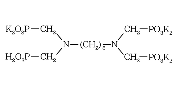
Potassium Salt of HexaMethyleneDiamineTetra (MethylenePhosphonic Acid) HMDTMPA?K6
- 別名: 己二胺四亞甲基膦酸鉀鹽
- CAS No.38820-59-6(X-6) 53473-28-2(6-K)
- 分子式 C10H22N2O12P4K6 相對分子質量:721
- 結構式

- 一、性能與用途:
-
HDTMPA?K6具有很高的溶解度,可阻止水中成垢鹽類形成水垢,是良好的硫酸鈣阻垢劑,尤其適用高堿高pH條件。HDTMPA?K6特別適應于鍋爐水處理、反滲透膜的阻垢劑。
- 二、技術指標
| 項 目 |
指 標 |
| 外 觀 |
無色至微黃色透明液體 |
| 活性組份(以酸計)% |
21.2-24.6 |
| 活性組份(以鹽計)% |
31.0-36.0 |
|
氯化物(以Cl-計) % |
≤4.0 |
| 總磷含量(以 PO43-計) % |
≥16.0 |
| 鐵(以Fe2+計)含量ppm |
≤35.0 |
| 密度(20℃)g/cm3 |
1.21-1.31 |
| pH(1%水溶液) |
6.0-8.0 |
- 三、包裝與貯存
- HDTMPA?K6用塑料桶包裝,每桶25kg或250kg,或根據用戶需求確定。貯于室內陰涼處,貯存期十二個月。
- 四、安全防護
- HDTMPA?K6為中性產品,操作時注意勞動保護,應避免與皮膚、眼睛等接觸,接觸后用大量清水沖洗。