- 聯系我們
- 內 貿 部:0632-5228899 18806325904
外 貿 部:0632-3671188 17763266218
采 購 部:0632-7663999 18663267979
人力資源:0632-7683555
郵箱:kr@krwater.com
官 網:http://m.andsart.com
地址:山東省棗莊市薛城區薛城化工產業園府前路路南1號
Acrylic Acid-2-Acrylamido-2-Methylpropane Sulfonic Acid Copolymer (AA/AMPS)
- CAS No. 40623-75-4
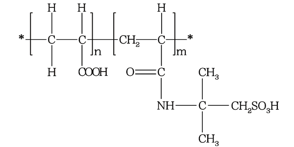
- 結構式

- 一、性能與用途:
- AA/AMPS為丙烯酸與2-丙烯酰胺-2-甲基丙磺酸(AMPS)共聚而成。由于分子結構中含有阻垢分散性能好的羧酸基和強極性的磺酸基,能提高鈣容忍度,對水中的磷酸鈣、碳酸鈣、鋅垢等有顯著的阻垢作用,防止氧化鐵的沉積,尤其對磷酸鈣阻垢率高,并且分散性能優良。與有機膦復配,增效作用明顯。
- AA/AMPS適合高pH、高堿度、高硬度的水質,是實現高濃縮倍數運行的比較理想的阻垢分散劑之一。
- AA/AMPS還可用作紡織印染助劑;造紙系統紙漿的阻垢劑。
- 二、技術指標
|
項 目 |
指 標 |
| 符合HG/T3642-2016 |
------- |
| 外 觀 |
無色至淡黃色粘稠液體 |
| 固體含量 % |
≥30.0 |
≥40.0 |
| 游離單體(以丙烯酸計)% |
≤0.2 |
≤0.5 |
| 密度(20℃)g/cm3
|
≥1.05 |
≥1.15 |
| pH(1%水溶液) |
≤2.5 |
≤ 4.5 |
| 極限粘數 (30℃) dl/g |
0.055 - 0.100 |
- |
- 三、使用方法
- AA/AMPS可與有機膦酸鹽、鋅鹽復合使用,適于pH條件為7.0-9.5。
- 四、包裝與貯存
- AA/AMPS用塑料桶包裝,每桶25kg或200kg,或根據用戶需求確定。貯存期為十二個月。
- 五、安全防護
- AA/AMPS為酸性,操作時注意勞動保護,應避免與皮膚、眼睛等接觸,接觸后用大量清水沖洗。